A duck walks into a bar, waddles up to the bartender and says: “Give me a beer.”
The bartender looks at him and says, “Hey, wait a minute. You’re a duck. How are you going to pay for this beer?”
The duck replies, “Put it on my bill.”
I can feel an audible groan coming from you. While this might be a pretty feeble attempt at humor, this much I also know — about half of you are going to go home and tell this same pathetic joke at dinner tonight. Let me know.
This lightly veiled attempt at humor is my endeavor to introduce you to the great benefits of value engineering. The latter is something that we rarely think about until we lose a job to a lower bidder or we find out that our bottom line is under water.
What do we mean?
Value engineering is simply a systematic approach to finding a way to accomplish a given goal or task while either reducing costs, if possible, without jeopardizing the quality or increasing the quality without increasing the cost.
Take a look at Figure 1, the Value Matrix. If I cut costs and cut quality, I have downgraded. I am certainly no better off than when I started. And we all know, we get what we pay for. These are the “good deals” we find on Christmas Eve night.
If I cut quality and pay more, I have been ripped off. Plain and simple. No good thing ever comes from this quarter of the matrix. You not only have less money, you have a time-bomb waiting to go off. And if I have increased quality, but increased cost, I am better off, but now I have less money for other projects, or inventory or profit.
And so, as you can see from the matrix, whenever we are not value engineering, we are “putting it on my bill.”
The problem with that is, eventually, the bill becomes due. That is, one way or another, you are going to pay for value engineering, now or later. You can pay for it up front and enjoy the benefits and quality of the product. Or you will pay for the new product over time by increased repair and maintenance costs.
Proactive versus reactive: It is a very costly gamble! Upgrading or value engineering seem to be the two best ways to go.
How to use the Value Matrix
You can use the value matrix to your benefit to determine its value outcome simply by placing the item you wish to compare at the very center of the matrix.
Let’s start with a very simple, very common part of every hydronic system: the venerable full-port ball valve.
I worked on an apartment building once that had more than 400 of them in one building. Each unit had four of them in each hydronic supply line going to the baseboard heat. Two were used to isolate the apartment and two were used to isolate the zone valve in the apartment.
In short, they are a very common component of our hydronic world. You always use full-port ball valves in hydronic applications, right? I mean, we don’t want to mess with the flow rate by using a standard-port ball valve. I can’t afford to lose flow rate in Minnesota. It’s so cold here, the squirrels throw themselves into electric fences to keep warm!
So, putting the full-port ball valve at the center of the matrix, what options do I have?
Option No. 1: I can buy a cheaper full-port ball valve that is not the same quality (lower-left quarter of the matrix). The total value of my investment has now decreased. Meanwhile, tic, tic, tic — the clock winds down to the inevitable disaster: usually the first day of a two-week vacation, or Christmas Eve night, or the day after new-carpet installation.
Option No. 2: I can buy a more expensive ball valve that is less than the quality of the one I am now using (upper-left quarter of the matrix). Continued use of this line of reasoning leads all the way to bankruptcy court. This will look terrific on your next job application.
Option No. 3: I can also buy a more expensive ball valve that is higher in quality (upper-right quarter of the matrix). This position is defensible. If it ensures that I have reduced my total installation cost, while reducing my liability for future damage, and at the same time increasing my quality of the total system, I am all for this.
However, in today’s tight money market, I can’t even afford to pay attention, much less pay more. This money has to come at the expense of something else I want to do. If I am to live in this quarter of the matrix, I must be able to defend the product with a proven track record. Often, this is the very choice that I make.
Option No. 4: This is the very best of the four quarters of the matrix. If I can find a way to increase quality without increasing costs, or maintain quality while reducing costs, it is a win-win situation. Returning to the issue of the full-port ball valves, are there any options left that will put me in the lower-right quarter of the matrix? This is where I don’t have to “put it on my bill.”
Real world example
Let’s go back to our apartment building and see what I can do with those 400 ball valves. If I am thinking of changing the type of ball valve that I will be using, I need a way to measure performance to make sure I have the right valve for the job.
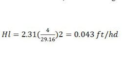
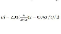
We use a math term called “flow coefficient” to measure the performance of a valve (CV for short). It measures the resistance to flow through a valve at a given flow rate at a given water temperature. The higher the CV, the more efficient the valve is in flow of water. A valve with a CV rating of 4.0 would require a flow rate of 4.0 gallons per minute (GPM) of 60°F water to create a pressure drop of 1 psi. A valve with a CV rating of 8.0 would require a flow rate of 8.0 GPM at 60°F water to create a pressure drop of 1 psi.
Got it? Once I know the flow rate, I can determine the head loss (pressure loss) using this formula:If 1 PSI = 2.31 feet of head, then I could line up 53 of these ball valves right in a row and the pressure would drop only 1 psi. (2.31/0.43 = 53.72)
Using a ¾-in., full-port ball valve for a flow rate of 4 GPM is like bringing a semi-truck to pick up the groceries. A bit of an overkill.
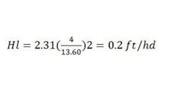
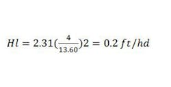
Now, let’s see what happens if I try to use a standard-port ball valve of the same brand on the job. It has to be able to do the job to justify the change. Checking it out, the ¾-in., standard-port ball valve has a CV of 13.6 and costs $16.95. Using the formula above, this is what I get now.If 1 psi = 2.31 feet of head, then I could line up 11 of these standard-port ball valves right in a row and the pressure would only drop 1 psi. (2.31/0.2 = 11.55) With four of these ball valves in each apartment unit, I would only have 0.8 ft/hd (4 x 0.2 = 0.8), or 0.34 psi of head loss. Hardly any drop at all.
And so, with no loss of performance and the same quality of ball valve, I save $7 per ball valve. Multiply that times 400 and you get $2,800 of value engineering! This is $2,800 I don’t have to “put on my bill.”
The best of all worlds
As you can see, once you know the flow rate for the system and the CV of any device, such as an air separator, you can size the hydronic component for the CV instead of by the size of the pipe.
By the way, this same CV information works for sizing plumbing as well.
So, it is possible to save hundreds (even thousands) of dollars without diminishing performance at all. Maybe I’ll have enough money left over to buy a new joke book.
In the meantime, I would be grateful to hear your thoughts, ideas and stories. Best regards and happy heating.
Steve Swanson is the national trainer at Uponor Academy. He actively welcomes reader comments and can be reached at [email protected].
About the Author
Steve Swanson
Steve Swanson is the customer trainer at Uponor Academy. He actively welcomes reader comments and can be reached at [email protected].





