Editors note: since he’s writing on plumbing this month, we’ve decided to let Steve Swanson act as a “guest host” for our April plumbing column. Scott Milne will return with our May issue.
Most of the time, I write articles about hydronics in some way, shape or form. However, for some reason, in the last year, I have been inundated with questions about hot-water recirculation systems. More specifically, the questions relate to problems, such as pinhole leaks in recirculation lines. These leaks are causing major damage and extra maintenance all around the country.
So this month, I’m switching from hydronics to plumbing. I promise I’ll go back to hydronics. However, let’s take a moment to discuss domestic hot-water recirculation (DHWR) systems, both residential and commercial.
Why do we need a recirc system anyway?
All of us know what it’s like to turn on a hot-water faucet and wait… and wait and wait for the water to get hot. This is both a waste of water and a waste of energy, as partially heated water is sent through the line and goes down the drain.
A recirculation system is designed to make hot water available at the fixture nearly instantly. Beyond eliminating an inconvenient wait for hot water, a recirculation system saves thousands of gallons of water annually. This is water that would otherwise go down the drain as a user waits for hot water to travel from the water heater to the fixture.
In fact, according to the U.S. Department of Energy, an average family of four wastes up to 12,000 gallons of water each year waiting for hot water. If this is how much water is being wasted by a family of four, imagine how much is being wasted in a 200-unit, multi-housing project.
Waiting for hot water sends millions of gallons of water down the drain each year in large commercial buildings. To reduce this waste, we can use a recirculation system, which circulates hot water through the pipes. That way, when an occupant opens a faucet, there is hot water available nearly instantly.
Back in the 1950s and 1960s, we didn’t really need recirculation, at least for residential, because of the way houses were piped. Figure 1 shows the plumbing system for a typical house at that time. It usually had one bathroom and was piped so all the plumbing fixtures were stacked right above the water heater. Thus, there was a very short distance to the faucet, and as a result, a very short “time to hot water.”
Figure 1: Plumbing for houses built in the 1950s and 1960s
Today’s new-construction homes can have up to three or four baths on different floors and on different ends of the house with plumbing runs of 70 feet or longer. The “time to hot water” might be more than a minute or even longer (see Figure 2). The problem is, when there is no call for hot water, the water cools off in the lines. Later, when the farthest faucet opens, it takes quite a long time for hot water to get to the fixture.
Figure 2: New-construction home plumbing example
So… how do we fix that?
One method that has been in use for decades is a recirculation line running from the farthest fixture back to the water heater (see Figure 3). The water is circulated by a small recirculation pump.
Figure 3: Recirculation line and pump
In residential applications, another solution is gravity recirculation, or thermosiphoning. This uses the physics that cooler water is heavier than hotter water and will sink back down to the water heater to be reheated, thus creating water flow. See Figure 4 as an example.
The great benefit of this method is that there is no need for a pump, which means no velocity issues with the pipe. I have never heard of a gravity recirculation line with a velocity pinhole leak.
Figure 4: Thermosiphoning
The key to gravity recirculation is to make sure the pipes are well insulated, except for the last 15 feet. Also, gravity recirculation doesn’t work with every plumbing system. For example, the plumbing system in Figure 1 won’t work because of the fixtures below the recirculation line. Another key to gravity recirculation is the swing check valve mounted horizontally on the return line. Don’t use a spring check valve, because there is not enough pressure to open up the spring and allow recirculation.
A third solution is to install an under-sink recirculation pump, as shown in Figure 5. When an occupant walks into a room, a motion sensor detects movement and activates a small pump under the sink that draws the hot water up to the faucet and pushes the cooler water into the cold water line for about five seconds. A thermistor on the pump signals when the water is hot enough to shut off the pump. For high-traffic areas, like a kitchen, this can also be accomplished with a button near the sink so the pump is only activated when hot water is actually needed
Figure 5: Under-sink recirculation pump
Slick, huh? There are no pinholes, because there is no recirculation line. This is one way to add instant hot water to an existing plumbing system that does not have a recirculation system.
So… where do the pinhole leaks come from?
As soon as you put a pump on pipe, the pump creates velocity, which is what it is supposed to do. The problem is that too much velocity erodes the pipe. Over time, it creates a pinhole leak (see Figure 6).
Figure 6: Pinhole leaks
Figure 6 has two problems. The first is that the installer forgot to ream the pipe after cutting it, which caused a ridge. This ridge created highly turbulent water moving very rapidly. Add to that problem high-velocity water caused by a pump that is too big, and you have yourself pinhole leaks.
Those channels you see in the copper are velocity channels — copper eroded away by high-speed water. High velocity due to an oversized pump is the number-one cause of pinhole leaks in recirculation pipes.
In addition, when the city water company adds chlorine to the water, it becomes worse. Chlorine is a disinfectant added to water to kill bacteria. However, it is kryptonite to piping—all kinds of piping. Chlorine is a killer oxidizer. The same thing that kills the bacteria also strips away the pipe.
And lately, city water companies are including chloramine, which is chlorine on steroids. Chloramine combines chlorine with ammonia to make the disinfectant last longer — which means it is corrosive to pipes for a longer period. Since municipalities have started using chloramines, the number of pinhole leaks have been exploding.
So… how do we prevent this?
Here’s the key. You need only a very small amount of flow for recirculation. All you need is to replace the heat that is lost through the pipe. That’s all. (And follow the pipe manufacturer’s recommendations.)
For copper recirculation pipe, it is recommended that the recirculation water should not exceed two to three feet per second. For PEX pipe, there is a rating on the pipe that tells you how much recirculation the pipe is capable of doing on a scale of 1 to 5.
The highest recirculation rating is 5, which allows for continuous, 24-hour recirculation at 140°F or less with a maximum of two feet per second (fps) velocity. Compare that to regular hot and cold supply pipes, which can run at up to eight feet per second.
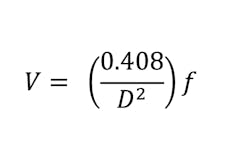
Use the following formula to determine water flow in fps.
Where:
V = Velocity in feet per second (fps)
D = Inside diameter of pipe
f = flow rate in gallons per minute
The water flow in gallons per minute (gpm) comes from the pump curve chart for that particular pump. See PEX Pipe ID chart just above.
Let’s take a look at an example.
A ¾" pipe with an inside diameter of 0.671 flows 6 gpm. What is the velocity in fps?
This pump is pumping at almost three times the maximum and will be producing pinhole leaks in no time. And, trust me, I see this all the time!
So, how many gpm should we be using?
Use this formula to determine gpm flow.
We’ll use 2 for the value of V since that is the maximum velocity.
Now the formula reads:
So, for ¾" PEX pipe, you need the recirculation line set at 2.2 gpm. Buy an inexpensive balancing valve, set it to 2.2 gpm, and you’ve solved the pinhole problem. If you have recirculation water above 140°F, such as with a hospital or commercial kitchen application, just use a balancing valve with a built-in mixing valve connected to the cold water, and you can drop the recirculation temperature below 140°F. Clever, huh?
To take the math pain away, here are the maximum flow rates for recirculation pipes for the various sizes.
Keep your gpm under these amounts, and you have followed the pipe manufacturer’s recommendations!
So, there you are — instant hot water that won’t rip your pipes up. And, you’ll save money on energy as well.
That’s how to do recirculation. Keep the flow down, and you get to keep your pipes.
I hope that you have found this helpful, and I would be grateful to hear your thoughts, ideas and stories. Until the next time, best regards and happy heating (or in this case — happy plumbing).
Steve Swanson is the national trainer at Uponor Academy in Apple Valley, Minnesota. He actively welcomes reader comments and questions at [email protected].
About the Author
Steve Swanson
Steve Swanson is the customer trainer at Uponor Academy. He actively welcomes reader comments and can be reached at [email protected].












